2011/12/9
創造性のある人
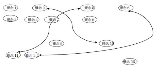
創造性が豊かな人は、概念を下記のような形で保存していると思われます。
概念を発見しやすくするために、グループ化は行われているでしょうが、障壁が薄いのか、上の図のように隙間があるようなイメージがあてはまるような、ゆるやかなグループ化ができていているのではないでしょうか。したがって、関係がないような結び付きを簡単にやってしまうと思われます。
以前ご紹介したハンガリーの研究者の論文(注)では、グループ化ではなく、創造性の豊かな人は、無関係な考えやイメージを結びつけるNeuregulin 1の力が強いとされていましたので、下の図のほうが実際に近いのかもしれません。
頭に入った概念やイメージをどんどん結び付けて行く人は創造性が豊かなのでしょう。天才と呼んでもよい人はそのスピードが段違いに速く、結び付き方が多様なので、話しながら、言葉が追いつかなくなり、言葉を切る時間がなくなるのかもしれません。その結果「~、~、~・・」のようなせわしなく、論理のつながりが常人には見えづらい話し方になるのだと思います。
私たちが創造性を伸ばそうとしたら、無関係なものをどんどん結び付けて、それを論理的に組み立て直す知的作業を日ごろからしたほうがよいと思います。そのためにも他人の意見を頭から否定しないで、一つの仮説として検証してみるという思考のくせをつけたほうがよいと思います。
注:Szabolcs Keri“Solitary Minds and Social Capital: Latent Inhibition, General Intellectual Functions and Social Network SizePredict Creative Achievements”



HOME
前のページへ